EXAMEN 11

1.-Calcular la serie de Taylor dada la siguiente función:
...
a....

b....

c....


d....

2.- Calcular la serie de Taylor dada la siguiente función:
...
a....

b. ...

c....

d. ...


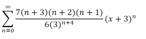
3.-Determina el radio e intervalo de convergencia de la siguiente serie:
...
a. R: 1, Intervalo: [-1,1]

b. R: 1, Intervalo: (-1,2)

c. R: 1, Intervalo: [-1,1)

d. R: 1, Intervalo: (-1,1].


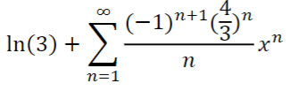
4.-Determina la serie de Maclauring de la siguiente función:
...

a. ...

b....

c....

d. ...


5.-Determina la serie de Maclauring de la siguiente función:
...
a. ...

b....
c....
d....

Regresar.

Asegurate de contestar todas las preguntas.